Dear Linden Families,
Linden Public Schools will be CLOSED tomorrow, Monday, February 23, due to the historic winter snowstorm forecasted to begin today. According to the National Weather Service 5:15 AM notification, the storm will bring heavy snow tonight into early tomorrow morning with blizzard conditions creating near-zero visibility. We remain in close coordination with the City of Linden Office of Emergency Management, the National Weather Service, and our district security, maintenance, and operations teams to assess road conditions, sidewalks, bus routes, and building access in real time. We will continue to monitor conditions closely and will provide an update tomorrow, Monday, regarding school operations for Tuesday.
To assist residents during the storm, Mayor Armstead, in cooperation with the Linden Public Schools Board of Education, will open municipal and school parking lots. Beginning at 12:00 PM today, residents may park their vehicles in our school parking lots across our campuses. The City of Linden will inform residents when vehicles must be removed from school property within 4 hours after the snow stops.
Many families have asked why we cannot provide virtual instruction on snow days. According to New Jersey statute N.J.S.A. 18A:7F-9 and Board Policy 2425, districts may implement virtual or remote instruction only during a declared state of emergency, a declared public health emergency, or a directive by the appropriate health agency requiring closure for more than three consecutive school days. Weather-related closures do not meet these criteria. Additionally, we have two snow days built into our calendar to account for weather-related closures. Our district's Emergency Virtual or Remote Instruction Program is available on our website at 5il.co/3n2pw for your reference.
Weather-related updates through:
• District Notification System:
o Email, Telephone, and Text Message
o Linden Public Schools Website: www.lindenps.org
o Linden Public Schools Social Media Platforms
Reminder:
• Before-and after-care programs and 21st Century programs are closed.
• Union County Vocational-Technical Schools operate on a separate schedule; families of students attending UCVTS will receive communication directly from that school.
• PreK 3 and PreK 4 students attending external providers are to follow Linden Public Schools' closing.
Please stay safe, keep warm, and look out for your neighbors during this storm. We look forward to welcoming our Tigers back once conditions improve.
With Tiger Pride,
Dr. Atiya Y. Perkins
Superintendent of Schools

February 20, 2026
Dear Linden Families,
We are aware of recent public reporting referencing an individual formerly associated with a private equity firm connected to Lifetouch’s parent company, and we understand that this has raised questions within our community. I have been in direct communication with the district’s Lifetouch representative. Based on the clarification shared with the district, there is no student safety concern related to our district’s use of Lifetouch photography services.
Lifetouch has reaffirmed that student images are used solely for school records and optional parent purchases, are never shared, sold, or licensed to third parties, including for AI or facial recognition purposes, and are protected in compliance with all applicable federal and state privacy laws, including FERPA. As always, the safety, privacy, and well-being of our students remain our highest priorities.
Attached you will find Lifetouch’s public statement on this matter, along with additional information outlining how the company safeguards student data and images.
With Purpose,
Dr. Atiya Y. Perkins
Superintendent of Schools



Delayed Opening Tuesday, January 27, 2026
Dear Linden Families,
Due to the inclement weather conditions, all Linden Public Schools will operate on a 2-hour delayed opening on Tuesday, January 27, 2026
See the attached table with the start times for each school.
• Busses will operate two hours from the original pick-up time.
• There is no before care when there is a delayed opening.
• Parents and Guardians of Union County Vocational-Technical Schools refer to the (UCVTS) Transportation in Inclement Weather form.
We will continue to monitor conditions closely and share an additional update regarding school operations for the remainder of the week once post-storm conditions and safety considerations are clearer.
Weather-related updates will be shared via:
• District notifications (email, phone, and text)
• www.lindenps.org
• Linden Public Schools social media platforms
Remain safe and be well,
Dr. Atiya Y. Perkins
Superintendent of Schools


January 23, 2026
Dear Linden Families,
As our community prepares for the snowstorm expected this weekend, I want to reassure you that we are closely monitoring conditions. The safety of our students, staff, and families remains our highest priority. Please make sure your phone numbers and emergency contacts are up to date in the Genesis Parent Portal. Timely communication is essential during weather events.
I am tracking forecasts and remain in regular communication with the City of Linden Office of Emergency Management, the National Weather Service, district security and maintenance teams, and city partners. Decisions are guided by real-time updates on road conditions, building access, bus routes, and safe transportation. District crews, in coordination with the Linden Department of Public Works, are working to ensure safe access to buses and school buildings.
Families will receive weather-related updates through the following channels:
• District Notification System: Email, Telephone, and Text Message
• Linden Public Schools Website: www.lindenps.org
• Linden Public Schools Social Media Platforms
Please keep the following in mind:
• If schools are closed, before- and after-care programs and 21st Century programs will also be closed.
• If schools have a delayed opening, these programs will follow the same delay.
• Union County Vocational-Technical Schools operate on a separate schedule; families of students attending UCVTS will receive communication directly from that school.
• PreK 3 and PreK 4 students attending external providers should follow Linden Public Schools' delays, dismissals, or closings.
As the storm approaches, I encourage families to take simple precautions:
• Prepare for winter weather and limit unnecessary travel
• Ensure students are dressed warmly
• Use caution on roads, sidewalks, and driveways
• Check in on elderly neighbors and family members
Upcoming Academic Dates
• Wednesday, January 28: Elementary Progress Reports published in Genesis
• Thursday, January 29: Secondary 2nd marking period ends
• Friday, January 30: Secondary 3rd marking period begins
• Wednesday, February 4: Secondary 2nd marking period grades published in Gene
Winter weather often means more time indoors—and more time online. Join an upcoming district livestream with our parent engagement partner, Smart Social, to help students build a positive digital footprint. SHINE ONLINE: Help Your Child Build a Positive Online Footprint 📅 January 27 Register for a chance to win an Amazon Kindle 🔗 https://smartsocial.com/events?org=lindenpublicschools
Thank you for your continued partnership and care for one another. Linden is a strong, connected community, and we will continue to communicate clearly as the weekend unfolds. Please stay safe and warm and look for district updates on Sunday afternoon.
With care,
Dr. Atiya Y. Perkins
Superintendent of Schools

November 26, 2025
Dear Linden Families,
𝐀𝐬 𝐰𝐞 𝐞𝐧𝐭𝐞𝐫 𝐭𝐡𝐢𝐬 𝐬𝐞𝐚𝐬𝐨𝐧 𝐨𝐟 𝐠𝐫𝐚𝐭𝐢𝐭𝐮𝐝𝐞, 𝐈 𝐟𝐢𝐧𝐝 𝐦𝐲𝐬𝐞𝐥𝐟 𝐫𝐞𝐟𝐥𝐞𝐜𝐭𝐢𝐧𝐠 𝐨𝐧 𝐭𝐡𝐞 𝐩𝐞𝐨𝐩𝐥𝐞 𝐰𝐡𝐨 𝐦𝐚𝐤𝐞 𝐋𝐢𝐧𝐝𝐞𝐧 𝐏𝐮𝐛𝐥𝐢𝐜 𝐒𝐜𝐡𝐨𝐨𝐥𝐬 𝐟𝐞𝐞𝐥 𝐥𝐞𝐬𝐬 𝐥𝐢𝐤𝐞 𝐚𝐧 𝐨𝐫𝐠𝐚𝐧𝐢𝐳𝐚𝐭𝐢𝐨𝐧 𝐚𝐧𝐝 𝐦𝐨𝐫𝐞 𝐥𝐢𝐤𝐞 𝐟𝐚𝐦𝐢𝐥𝐲. 𝐓𝐡𝐚𝐭 𝐟𝐚𝐦𝐢𝐥𝐲 𝐢𝐧𝐜𝐥𝐮𝐝𝐞𝐬 𝐞𝐯𝐞𝐫𝐲 𝐬𝐢𝐧𝐠𝐥𝐞 𝐨𝐧𝐞 𝐨𝐟 𝐲𝐨𝐮.
𝐓𝐨 𝐨𝐮𝐫 𝐬𝐭𝐮𝐝𝐞𝐧𝐭𝐬: You bring life to our hallways and hope to our future. Your determination and growing confidence remind us why we do this work.
𝐓𝐨 𝐨𝐮𝐫 𝐟𝐚𝐜𝐮𝐥𝐭𝐲 𝐚𝐧𝐝 𝐬𝐭𝐚𝐟𝐟: You show up fully, consistently, and wholeheartedly. Whether teaching, leading, comforting, or guiding, you hold our district up with grace and heart.
𝐓𝐨 𝐨𝐮𝐫 𝐟𝐚𝐦𝐢𝐥𝐢𝐞𝐬: Thank you for the morning routines, the homework pep talks, the trust you place in us, and the generous partnership you offer. Your belief in our mission and in your children fuels everything we do.
𝙅𝙤𝙞𝙣 𝙐𝙨: 𝙔𝙤𝙪𝙧 𝙑𝙤𝙞𝙘𝙚 𝙈𝙖𝙩𝙩𝙚𝙧𝙨 – 𝙔𝙤𝙪 𝙈𝙪𝙨𝙩 𝙍𝙚𝙜𝙞𝙨𝙩𝙚𝙧
Speaking of partnership, I am excited to invite you to our Tiger Talk with the Superintendent: Parent Voice Advisory Academy. This four-workshop series is designed to deepen our connection and ensure your voice shapes the future of our district.
📅 Workshop 1: Monday, December 8 | School No. 4 | 6:00-8:00 PM
Welcome & Understanding Our Vision – Discover how you can make a difference
📅 Workshop 2: Wednesday, February 18 | McManus Middle School | 6:00-8:00 PM
Your Child's Success – Navigate our programs and pathways
📅 Workshop 3: Monday, April 27 | Linden High School | 6:00-8:00 PM
Multi-Tiered Systems of Support – Access resources to support your child
📅 Workshop 4: Wednesday, June 3 | School No. 1 | 6:00-8:00 PM
Leadership & Taking Action – Lead with confidence and shape our future
Spanish translators available | Refreshments served |
These workshops will prepare you to join our District Parent Advisory Council, where you will work directly with our Board of Education, Cabinet, and me to influence district policy, programs, and priorities—your perspective matters. Your voice shapes our decisions. Moreover, we truly need you.
As we step into this Thanksgiving weekend, may your homes be filled with warmth, peace, gratitude, and all the small joys that make this season meaningful. On behalf of the Linden Board of Education and our entire district team,
𝙒𝙚 𝙒𝙞𝙨𝙝 𝙔𝙤𝙪 𝙖 𝙃𝙖𝙥𝙥𝙮 𝙏𝙝𝙖𝙣𝙠𝙨𝙜𝙞𝙫𝙞𝙣𝙜!
"We Need You – All Means All" - Your Voice, Your Impact, Your Community - The Mission is Possible
With gratitude and ROAR spirit,
Dr. Atiya Y. Perkins
Superintendent of Schools


November 14, 2025
Dear Linden Families,
I hope this message finds you well as we move through the fall season. I am writing to share important updates regarding student progress, upcoming events, and district highlights.
Report Cards and Parent Portal Access
Middle and high school report cards will be viewable in Genesis on Wednesday, November 19. All parents should have access to the Genesis Parent Portal, which provides an overview of student performance and attendance. If you do not currently have access, please contact your school's principal for assistance. Middle and high school parent-teacher conferences will take place at the beginning of the new year. A reminder will be sent as the date approaches.
Highlights
We recently honored Veterans Day, paying tribute to the brave men and women who have served our country. Thank you to all veterans and their families for their sacrifice and service. We recently celebrated our Athletic LHS Hall of Fame induction ceremony, honoring our past athletic heroes and their contributions to our district's proud athletic tradition. It was a high-energy experience with past alumni who remain proud and connected to our school district. Orange and Black are not just our colors, but a deep-rooted connection to Tiger Pride that will ROAR for a lifetime. Congratulations to all our inductees.
We celebrate American Education Week (November 17–21), spotlighting the people who make Linden Public Schools exceptional. This year's theme, "Together for Safe, Just & Equitable Schools," reflects our district's commitment to every student. District-wide celebrations have been sent by building principals.
I invite all parents and guardians to join me for our Smart Social LIVE virtual event on Wednesday, November 19, at 7:00 pm. We will discuss how our students are using social media to communicate and what parents need to know to support their online safety. Wednesday’s topic is titled: "Snapchat & Instagram Teen Risks: Hidden Dangers of Disappearing Messages & Secret Accounts. https://www.smartsocial.com/event/snapchat-instagram-teen-risks-live-session-3?org=lindenpublicschools
Our Fall Play, "You Cannot Take It With You," will be held Thursday, November 20, and Friday, 21, at 7:00 PM at the LHS auditorium. Tickets are available at: https://lhsnj.booktix.com/dept/main/e/play2025/pal/Ncai9pYByuHzMxBnwWmstXUum
Please note that Wednesday, November 26, is a half-day for all students; lunch will not be served, and the school will be closed on Thursday, November 27, and Friday, November 28. I wish all families a peaceful and memorable holiday break, filled with love and support.
Community Partnerships
We are grateful for the ongoing partnerships that impact our school community, including our collaboration with the city for food drives and our partnership with the Chick-fil-A Leadership Academy, which provides mentorship opportunities for our high school students. Our high school students are visiting our elementary schools, bringing awareness to leadership principles and the love of reading. The students are enjoying their experiences, and it is wonderful to witness the older students speaking to their younger selves, while the elementary students listen to their older selves.
We have exceptional students and staff, and thank you for your partnership in your child's education.
Take care,
Dr. Atiya Y. Perkins
Superintendent of Schools

Apply Now: Superintendent’s Student Leadership Team Opportunity
Dear Parents,
Superintendent Dr. Atiya Y. Perkins is excited to announce that 24 students will have the opportunity to serve on the Superintendent’s Student Leadership Team (SSLT) for the 2025–2026 school year. The deadline to apply is Sunday, November 9.
Dr. Perkins is launching this initiative because she believes that our students’ voices, ideas, and leadership truly matter. The Superintendent’s Student Leadership Team is not about being perfect or having all the answers. It is about being genuine, being willing to grow, and being committed to making a positive impact within our schools and community.
“I grew up believing my dreams belonged to someone else,” said Dr. Perkins. “I want something different for your children. I want them to believe that their voice matters, their ideas have power, and their leadership can shape the future.”
That’s why she created the Superintendent’s Student Leadership Team -- to give our students a platform to grow, lead, and inspire change from within.
WHAT IS SSLT?
This team will develop your child’s leadership skills through training in emotional intelligence, communication, and advocacy, while providing an authentic student voice to shape district decisions and culture. They will participate in monthly lunch and learns, walking trips to the Administration building, field trips, and direct conversations with me about what needs to change in our schools.
Student LEADERS are special. Membership requires you to:
LISTEN to yourself and others
EMPOWER those around you
ADVOCATE for what is right
DEMONSTRATE leadership daily
ELEVATE yourself and your peers
RELATE authentically with others
SERVE your school community
WHO SHOULD APPLY?
Students who want to:
- Find and use their voice
- Lead with purpose
- Make real change in our schools
- Grow their confidence and skills
- Be part of something meaningful
The student does not need to be a straight-A student. They do not need to hold a title. They need to be willing to show up, be honest, and commit to the work.
Eligibility Criteria: To be eligible, you must meet the specific requirements outlined below.
1. I am in good standing with my school attendance
2. I must maintain good academic and behavioral standing
3. I must be available to attend regular meetings during school, after school, and/or on Webex video, including some weekends.
Questions to answer:
1. Write about yourself, what makes you special (100 words or less)
2. What does leadership mean to you? (100 words or less)
In a 250-word narrative answer:
1. Why do you want to be part of SSLT? What do you hope to contribute and gain from this experience? (combines Q3 & Q6)
2. Describe a time when you spoke up about something important to you or advocated for yourself or others. What was the outcome? How did you feel?
3. What is one issue or idea related to student well-being, school culture, or student experience that you would like to help address or improve? Why does it matter to you, and how would you commit to working on it as part of this team? If you are interested in joining the SSLT, you must apply. Twenty-four students will be selected.
HOW TO APPLY:
Complete the application by [November 9, 2025 - 5 DAYS FROM NOW] by 11:59pm.
Application link: Superintendent's Student Leadership Team Application – Fill out form
Be yourself. Put your responses in another file, then copy and paste them into the boxes.
Remember, your dreams are yours. Let us chase them together.
Best Wishes
Michael A. Wattkis
Public Information Officer

Dear Linden Families,
As we conclude October with students roaring in pink, pumpkin carving displays, and joyful Halloween parades, I am writing to share school highlights and important reminders as we welcome November.
𝘾𝙝𝙧𝙤𝙣𝙞𝙘 𝘼𝙗𝙨𝙚𝙣𝙩𝙚𝙚𝙞𝙨𝙢 𝙞𝙨 𝙤𝙪𝙧 𝙁𝙤𝙘𝙪𝙨, 𝙖𝙣𝙙 𝙎𝙘𝙝𝙤𝙤𝙡 𝘾𝙡𝙤𝙨𝙪𝙧𝙚 𝘿𝙖𝙮𝙨
Linden Public Schools will be closed on Tuesday, November 4, and on Thursday, November 6, and Friday, November 7, for the NJEA Convention. Students will have two days of school before the weekend. These instructional days are critical to maintaining academic momentum. I encourage all families to prioritize attendance. Your commitment to having your child in school each day makes a meaningful difference. We have seen positive progress in reducing chronic absenteeism, and we must collectively sustain this improvement.
𝘼𝙨𝙨𝙚𝙨𝙨𝙢𝙚𝙣𝙩 𝘿𝙖𝙩𝙖
Our elementary and secondary schools completed the NJSLA Adaptive Field Test. I appreciate the collective effort that ensured our success. Test coordinators, teachers, technology staff, and administrative teams all displayed exceptional readiness and adaptability during this process. Our students showed remarkable concentration as they engaged with this new assessment format, yielding important insights about the testing platform and student progress. Assessment work will continue at Linden High School into next week, providing us with valuable information about the new testing platform and student learning and growth.
𝙊𝙘𝙩𝙤𝙗𝙚𝙧 𝙃𝙞𝙜𝙝𝙡𝙞𝙜𝙝𝙩𝙨
This past month has been rich with learning experiences beyond the classroom. We conducted elementary parent-teacher conferences, enabling families and teachers to collaborate in support of student success. We also observed several important recognition weeks, including School Violence Awareness Week, Fire Prevention Week, Week of Respect, and Red Ribbon Week, which focuses on drug prevention. Each of these initiatives reinforced our commitment to creating safe, caring, and healthy school environments. As you prepare for activities and celebrations, please keep safety at the forefront of your mind. Our children depend on us to model responsible choices and to keep them protected.
At the October Board of Education meeting, we shared significant gains in the Spring 2025 New Jersey Student Learning Assessments and celebrated students who earned top scores. These achievements reflect the dedication of our students, teachers, and families working together in harmony. We are closing gaps and expanding achievement across all levels, and this progress belongs to our entire community.
𝙎𝙪𝙥𝙚𝙧𝙞𝙣𝙩𝙚𝙣𝙙𝙚𝙣𝙩 𝙎𝙩𝙪𝙙𝙚𝙣𝙩 𝙇𝙚𝙖𝙙𝙚𝙧𝙨𝙝𝙞𝙥 𝙏𝙚𝙖𝙢
Across all grade levels, from pre-kindergarten through high school, we recognize that all behavior is a form of communication. When students struggle to express their needs effectively, we respond by teaching practical communication skills, coping strategies, and respectful behaviors. Most importantly, we listen. I am excited to announce the launch of the Superintendent Student Leadership Team for students in grades six through twelve. In these sessions, students and I will engage in meaningful dialogue centered on our core pillars: activating student voice, building strong relationships, and creating unique opportunities for every learner. Every student deserves to be heard, and every voice matters in our schools. Students will receive an interest application to complete via Canvas.
Thank you for your continued partnership. Together, we are building a school community where every child is known, valued, and supported in reaching their full potential.
Take care,
Dr. Atiya Y. Perkins
Superintendent of Schools

Dear Linden Families,
As we move deeper into October, I want to share important updates and reminders requiring immediate attention and participation. October is Fire Prevention Month, Breast Cancer Awareness Month, Violence and Vandalism Awareness Month, and Red Ribbon Week. Our schools are working with our Fire Department and Linden Police Department to spread awareness through community and relationship building.
Breast Cancer Awareness Walk: Our second annual breast cancer awareness walk will occur at Tiger Stadium on Saturday, October 18, with registration beginning at 8:30 am. Please come out and show your support for this important cause. This event brings our community together and demonstrates our commitment to supporting one another. Here is the online registration to register for the event. Https://gofan.co/event/4088057?schoolId=NJ20192 Please join our fight against cancer as a unified team.
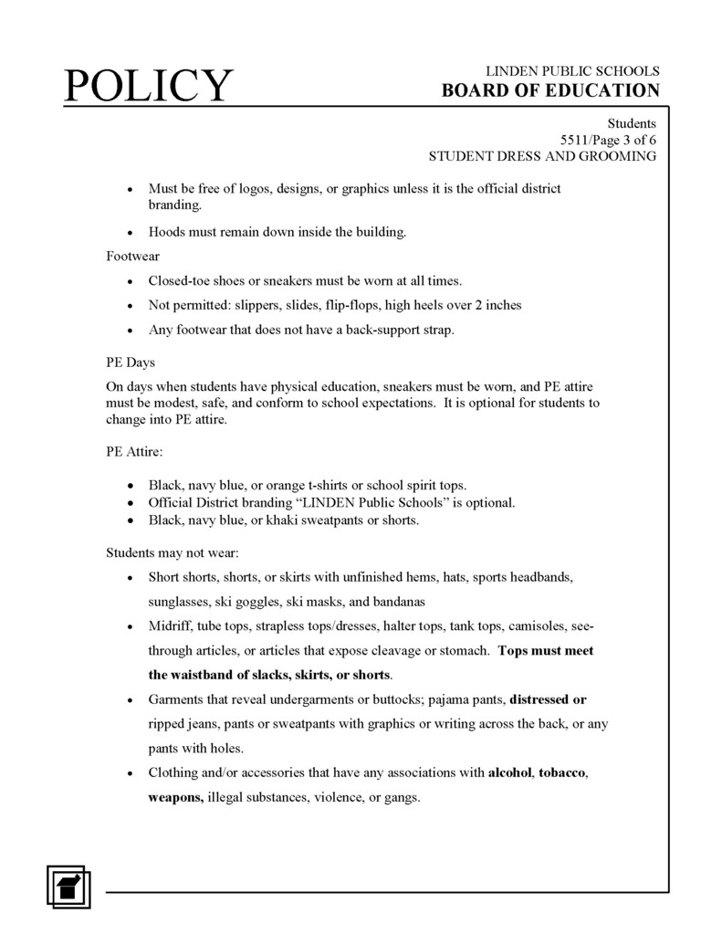
Student Uniform Update: Revisions are made to Board Policy #5511 Student Dress and Grooming, expanding on what is or is not permitted. The revisions to the board policy will go into effect on November 21, after the second reading at the November 20 Board of Education Meeting. The policy is attached for your review. Reminder, this is the first reading of the policy.
New Jersey Student Learning Assessment (NJSLA): The Spring 2025 NJSLA individual student report sheets are available to all parents through the Genesis platform https://parents.c2.genesisedu.net/linden/sis/view?gohome=true. I invite you to review your child's results and celebrate their progress. I am pleased with our gains in student achievement, and our district-wide analysis presentation is available on our website.
Elementary Parent-Teacher Conferences: Parent-Teacher Conferences will take place October 28, 29, and 30, with an early dismissal and lunch served for elementary students. You must sign up through our Genesis Portal. These conferences are essential opportunities to discuss your child's progress, ask questions, and strengthen the home-school partnership. Please make every effort to attend and engage with your child's educators.
Addressing Chronic Absenteeism: We need your students to come to school. I am pleased to report that our district maintains a high attendance rate of 90% or higher across all schools as we complete the second month. This reflects the collective commitment of our students, families, staff, and community to prioritizing daily school attendance. A 90% attendance rate is commendable, but we aim to ensure every student is present and engaged daily. We will continue working with families and community partners to maintain this positive trajectory and support the students who need additional encouragement or assistance. Every day matters. Every absence impacts learning. Have your students in school, because we need you. All means all.
Thank you for your continued partnership. Together, we are making a difference in the lives of our students. When we work together, show up, and stay engaged, our students thrive. Let us continue to ROAR together.
Take care and be well,
Dr. Atiya Y. Perkins
Superintendent of Schools







Dear Linden Families,
We are in the second month of the school year and are off to a great start. Our fall sports are in full swing, and we are proud of our students' athletic performances. September has been an exceptional start to the 2025-2026 school year. Our students have returned with energy and focus, our educators deliver excellent instruction, and our buildings are alive with learning. When I walk through our schools, I see our ROAR values in action every day—resilience in how our students tackle challenges, opportunities being seized in every classroom, achievement at every level, and strong relationships being built between students and staff.
The transition to our uniform policy has gone remarkably well. Our students look sharp, our families have been supportive, and the policy is helping to create a more focused learning environment. Uniforms reinforce that we are one team with one mission: student success.
In third-grade classrooms, students have shared that the work is challenging as they transition between rooms for different subjects and move from addition to multiplication. Their engagement and willingness to embrace the challenge are impressive. Middle school students have told me the key to success is simply trying their best. At the high school level, students are thinking about life after graduation. I recently spoke with a student who felt barriers between her and her college dreams. These conversations are essential and reflect our strategic plan commitment to giving students a platform to share their thinking. I have also heard concerns that this generation faces many distractions through social media that impact their self-identity, self-worth, and educational stamina. However, our students continue to show up. Our staff has created structured learning environments that promote collaborative thinking and learning. I am proud of how they are helping students navigate their educational experience both in and out of the classroom.
A parent recently informed me that what initially seemed like a lack of resources resulted in staff providing those resources in abundance. The relationships being built with our students and parents are cultivating the partnerships we need. Our strategic plan says we need you because all means all.
Our students are taking grade-level benchmark assessments in reading, language arts, and math to demonstrate their readiness for college and career success in grades 1 through 12. To support their learning, students use our online program Exact Path by Edmentum, which customizes lessons and assessments based on each student's strengths and weaknesses. Students can access Exact Path both at school and at home.
URGENT: Free or Reduced Lunch Application Deadline is October 13 - Free or reduced lunch forms must be completed online before October 13. All parents and guardians should complete the application regardless of whether they plan to accept any support from free or reduced lunch. This is a critical deadline that impacts funding and resources for our entire district. Please act immediately if you have not already done so.
As we continue through October, here are key priorities requiring your engagement. Back-to-school nights allow you to meet your children's educators, the people working with them for the next 158 days. Remember that our home-school connection requires parents to show up. Administrators shared they have been assisting parents in signing up for the Genesis parent portal, which provides access to everything about your child, including attendance, grades, and extracurricular activities. If you need help signing up, contact your school’s principal.
I want to remind every student that you belong here, your voice matters, and your potential is limitless. We are building something special in Linden Public Schools, and each of you plays a vital role in that vision. To our families, thank you for trusting us with your children. To our staff, thank you for your dedication. To our students, keep reaching higher. It is an exciting time to be part of Linden Public Schools. We are just getting started, and the best is yet to come. When we ROAR together, there is nothing we cannot achieve.
Take care and be well,
Dr. Atiya Y. Perkins
Superintendent of Schools

September 12, 2025
Dear Linden Families,
Safety and security are ever-present concerns for our parents and our Linden community. As parents, you play a critical role in helping us maintain a safe environment for our children. In partnership with Mayor Derek Armstead and local agencies, we all understand that communication with parents is essential when alleged school threats are made. These situations are very difficult and frustrating, but we want to reassure you that every threat is taken seriously and addressed with professionalism, care, and thoughtfulness, with students as our priority.
The Mayor and I both grew up in Linden alongside many of our police officers, firefighters, teachers, and staff who serve our community today. Whether you are a lifelong resident or newer to our community, we all share the same commitment to protecting every student. We are committed to keeping you informed while balancing the need to protect our students and respect the legal limits of what we can share during investigations. We have implemented security protocols that allow us to keep our students safe. A shelter-in-place notification was sent to all families. Our district did not go into a Lockdown procedure.
Violence has no place in our schools. Our team encourages you to speak with your children about reporting anything deemed a threat. As the Mayor says, “If you see something, say something.” In our schools, notify an administrator, teacher, or staff member if you see something. Reminder, our notification system includes our new LPS Mobile App available for you to download in addition to text messaging, emails, and telephone calls. Please ensure your contact information is updated in our Genesis Portal. Contact your school's principal if you need assistance accessing or updating your information.
Thank you for your ongoing support and for working in partnership with us to ensure the safety of our students and staff of Linden Public Schools. We will continue to provide updates as they become available, and your safety and peace of mind are our highest priorities during this time. Please contact your building principal with any immediate concerns. Thank you for your patience and cooperation.
Be well,
Dr. Atiya Y. Perkins
Superintendent of Schools

Dear Students,
Wow — what an incredible start to our school year! Your bright smiles, your laughter echoing through the halls, and the sheer energy you bring have filled my heart with overwhelming joy and gratitude. Every time I step into one of our schools, I am reminded why this community is so special: you. Your teachers have been sharing their excitement with me, too. I have been hearing, “So far, so good!” They tell me you are focused and ready to learn — and I have seen it with my own eyes. Here is what stood out to me as I visited your classrooms and walked through your hallways during these first three days:
R - Resilience: You have shown me what it truly means to be strong. Even when things feel new or challenging, you keep trying. You do not give up. Our varsity football players told me they are determined to keep their heads in the game and practice mental toughness on and off the field. I watched 6th graders wrestle with stubborn locker combinations — and win! These small victories matter because they reveal a bigger truth: resilience is your superpower.
O - Opportunities: Everywhere I looked, I saw curiosity at work. I heard students asking great questions. Two 7th graders proudly told me how they have been strategizing the fastest route to science class — not just to avoid being tardy, but to stay on track for their dream of becoming valedictorian, one even saying, “a second time!” That is the spirit I love to see. Never settle. Keep exploring, keep questioning, keep learning. That is how growth happens.
A - Achievement: One 3rd grader was honest: he would rather play video games at home. (I understand — we all have days like that!) However, when asked what he was writing for a writing prompt on how he could help in the classroom, he wrote that he would help others by working alongside them. That moment captured the very heart of kindness and leadership. Moreover, our youngest students melt my heart. When I ask our Pre-K and Kindergarten friends how they get home, they excitedly tell me about mommies and daddies, grandparents and siblings, even sharing details about cars, canes, and carriages. Their answers reminded me of how deeply we are all connected — and how thankful they are for the people who care for them. Achievement is not just about grades but about kindness and inspiring hope.
R - Relationships: Some of our seniors told me they are both nervous and excited for this final year of high school — a milestone that feels both thrilling and a little bittersweet. Two 7th graders shared that they have been best friends since they were three years old! Friendships like these remind me that relationships are at the core of who we are. Whether it is a lifelong friend or someone you just met, a human connection is what makes our journey meaningful.
Watching our District’s Vision come alive as you uncover your unique potential fills me with the most pride. Your creativity, individuality, and style shine through in every project you complete, every question you ask, and every choice you make. Tomorrow, we move into our first whole week of school. Remember this: it is okay to be still adjusting. You are doing wonderfully. We are learning, growing, and ensuring everyone hears our R.O.A.R.
We are also kicking off something exciting this month: our new program, #LPS_ShowUp&ROAR. September is all about attendance — showing up every single day. Because when you show up, you ROAR. Each day you walk through those doors, you send a message: I am here. I am ready. I am unstoppable. I believe in you — every single one of you. Keep showing up, keep rising higher, and keep making us proud. And finally, a warm shout-out to our families. Your partnership and support have made this first week smoother. You are the foundation that makes everything possible. To all our Grandparents, Happy Grandparents Day! I am a proud Grammy of five younger humans; it is a beautiful connection.
Take care from a student who is always learning,
Your Superintendent, Dr. Atiya Y. Perkins

Dear Linden Families,
I am joyful and excited to welcome you to the 2025-2026 school year! Students return on Wednesday, September 3, for a half day with lunch served, including September 4th and 5th. Our dedicated teachers and staff return on Tuesday, September 2, for professional learning that accelerates student achievement. Our school buildings are open and ready to welcome you. As we begin our second year of R.O.A.R., we remain committed to empowering each of you. R.O.A.R. stands for:
Resilience (don’t quit; resilience is our superpower)
Opportunities (don’t settle; be curious and ask questions)
Achievement (inspire hope and unlock peak performance)
Relationships (be kind and connect with those around you)
To our students, you are missed, and we cannot wait to see you. As you prepare for this school year, remember that true success comes from believing in yourself. I know you have incredible potential, and I want to see you participate fully in your learning journey. Be actively accountable for yourself and lift those around you by being your wonderful, authentic self. Here is what I believe will make this a phenomenal year: your voice truly matters to us, and we are eager to hear your thoughts, ideas, and dreams. We need you to show up, arrive on time, and give your heart to what you do; amazing things will happen.
Families, the new school year brings fresh opportunities for collaboration and connection. I am thrilled to engage with our students as I visit classrooms throughout the coming weeks. To build stronger partnerships with families, I commit to being present, perceptive, and purposeful in my daily interactions with the school community. Please ensure you are signed up for Genesis and have completed all required forms before the school year begins. Our Student/Parent/Teacher Handbooks guide our school practices and expectations, and the link has been emailed to you. You must sign off that you have read the handbooks through your child's Genesis page. Parents must be familiar with the handbook contents to support their child's understanding of our policies and expectations, creating consistency between home and school. If you have questions, please contact your child's teacher, case manager, or principal.
We stand united in promoting community excellence and opportunity on behalf of Linden Public Schools Administration, the Linden Board of Education, and Mayor Derek Armstead. This is our Mission Possible, and together we will help every student learn, grow, and believe in their Linden R.O.A.R. Enjoy these final days of summer.
Take care and be well,
Dr. Atiya Y. Perkins
Superintendent of Schools

Saddle Up for Success - Superintendent Spotlight Message 08/15/2025
Dear Linden Families,
There is an unmistakable buzz in the air as we prepare for the 2025–2026 school year, and I could not be more excited to share the momentum building across our district. This week, I enjoyed spending time with our exceptional district administrators during our annual Admin Week. This year's western-themed kickoff blended fun, team building, and focused vision-setting for the year ahead. From professional learning to collaborative planning—and even a little line dancing—our leadership team showed up with passion and united commitment to student success. My message to them was simple: "We lead together. We solve problems together. Moreover, above all, we stay focused on what is best for our students."
September will be here in two weeks. If this is your first year with us, know that we understand transitions can bring mixed emotions for families and students. Our Early Childhood department will send out Preschool Social Stories books for our families, and our middle and high schools have completed orientation sessions. If you need additional support, please reach out—we are here to help make this transition smooth and joyful. In addition, Mayor Armstead and the Mayor's Youth Commission, Communities in Cooperation, Inc., and the Linden Department of Parks and Recreation are hosting the annual Free Backpack Giveaway on Monday, August 25, from 5:00-7:00 PM at the Promenade in Linden. All families must register for the event using the attached flyer and QR code. This will be a fun experience for our students and families, and we value our partnership with the community.
Schools will send home their welcome back to school letters in the next few weeks. Student schedules are being finalized and will be available through the Genesis portal. Please ensure you have access to Genesis and contact your school if your address or telephone number has changed. As a reminder, District Policy 5511 – Student Dress and Grooming has been revised and will be presented to the Board of Education for approval at the August 21 board meeting at LINDEN HIGH SCHOOL. Details are available on our website.
Families have been arriving at schools for scheduled pickups to collect their free uniform packages—four shirts per student, individually labeled and ready to go. The excitement has been contagious, with smiles and plenty of Tiger pride. To continue with our Tiger Pride, our Linden Tigers Football team will take the field for their preseason opener on Tuesday, August 19, at Edison High School, led by new Head Coach Mark Ciccotelli, a multi-time state champion known for building powerhouse programs. Do not miss our home opener on Friday, August 29, at 7 PM at Tiger Stadium against longtime rival Elizabeth.
On September 1, we launch our new Strategic Plan, a living guide that will shape our work through visibility, responsiveness, and professionalism—all in service to student growth, equity, and excellence. Thank you for being such an essential part of the Linden Public Schools family. We are saddled up, ready to ride, and determined to make this year our best yet—together!
Enjoy our August weather and be well,
Atiya Y. Perkins, Ed.D.
Superintendent of Schools















